A robust phase extraction method for overcoming spectrum overlapping in shearography
The same as the traditional optical interference technique, shearography obtains the object deformation information by obtaining the phase, and the measured object is often dynamic in practical applications, so the spatial carrier method, which can extract the phase information from a single speckle pattern, becomes a necessary phase extraction method for the practicalization of shearography. However, due to the coupling relationship between shearing amount and spatial carrier frequency, the spatial carrier method often suffers from spectrum overlapping, which seriously affects the quality of extracted phase.
Recently, Prof. Yonghong Wang and his team from the School of Instrument Science and Opto-electronics Engineering, Hefei University of Technology, published a research paper on Light: Advanced Manufacturing, entitled A robust phase extraction method for overcoming spectrum overlapping in shearography.
The paper briefly reviews the causes of spectrum overlapping in spatial carrier shearography and proposes a phase extraction method based on improved windowed Fourier ridge algorithm to achieve high quality phase extraction in spectrum overlapping. Simulations and practical experiments are conducted to verify the effectiveness of the proposed method for various cases.
In many cases, spatial carrier shearography is inevitably subject to spectrum overlapping, such as large deformation detection or large aera detection. This spectrum overlapping will cause a degradation in the quality of phase extraction, which in turn will cause the subsequent phase unwrapping anomalies and prevent the acquisition of accurate deformed phase information. If the phase extraction method can extract high quality phase in the case of spectrum overlapping, it will be beneficial to the practical application of shearography.
The windowed Fourier ridge (WFR) is a phase extraction method proposed by Prof. Kemao Qian of NTU mainly for phase extraction of fringes demodulation, the method has excellent anti-noise capability and also has a certain anti-spectrum overlapping capability. However, in shearography, the spectrum overlapping produced is the most serious due to the consistency of the spectrum size of background light, object light and conjugate object light, and conventional WFR algorithm is difficult to meet the requirements. In this study, an improved windowed Fourier transform ridge phase extraction method is proposed.
Since modern optical systems widely use circular aperture diaphragms, the proposed method uses the Hough transform to analyze the speckle pattern spectrum, obtains the coordinates of the center point of the object spectrum and the radius of the spectrum, and roughly determines the frequency band of the window Fourier ridge through the correspondence between the frequency domain coordinates and image pixel coordinates, which reduces the running time of the algorithm and allows the search the local frequency with smaller step size. In addition, for the regional characteristics of the object light spectrum when the spectrum is mixed, using a large window for WFR will lead to increased speckle size, and a small window will be mixed with zero-order information, so this paper proposes the use of a linearly transformed elliptical window for WFR, as shown in Figure 1, the elliptical window with the long axis parallel to the y-axis direction is used near the zero-frequency, and with the right shift of the frequency scan interval linearly changes to an elliptical window with the long axis parallel to the x-axis direction, thus maximizing the use of spectrum information and improving the quality of phase extraction.
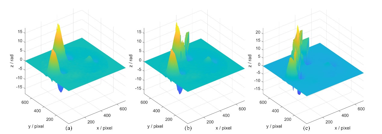
In order to verify the effectiveness of the proposed method for phase extraction in this study, we obtain the speckle patterns under different spectrum overlapping cases by simulation and experiment, and also compare two other commonly used phase extraction methods. The following figure shows the real phase of the phase map obtained by the three phase extraction methods after same filtering and unwrapping.
It can be seen from the figure that the unwrapped phase obtained by the proposed method is very smooth and has better quality, while the other two methods have obvious fringe breaks causing the unwrapped phase anomaly, which verifies the effectiveness of the proposed method.
###
References
DOI
10.37188/lam.2023.007
Original Source URL
https://doi.org/10.37188/lam.2023.007
Funding information
This work was supported by the National Key Research and Development Program of China (No. 2016YFF0101803) and Hefei Municipal Natural Science Foundation (No. 2021017).
About Light: Advanced Manufacturing
The Light: Advanced Manufacturing is a new, highly selective, open-access, and free of charge international sister journal of the Nature Journal Light: Science & Applications. It will primarily publish innovative research in all modern areas of preferred light-based manufacturing, including fundamental and applied research as well as industrial innovations.
Wendy Chen
TranSpread
+1 865-405-5638
email us here
Legal Disclaimer:
EIN Presswire provides this news content "as is" without warranty of any kind. We do not accept any responsibility or liability for the accuracy, content, images, videos, licenses, completeness, legality, or reliability of the information contained in this article. If you have any complaints or copyright issues related to this article, kindly contact the author above.

